• Предмет: Алгебра
  • Автор: danilasolomko
  • Вопрос задан 8 лет назад

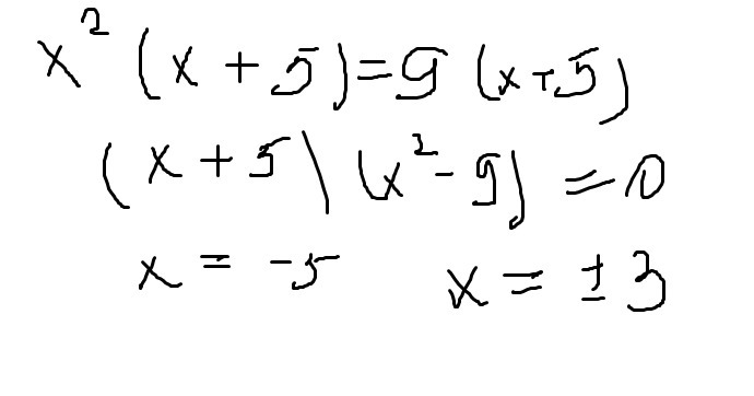
Решите уравнение x^3 + 5x^2 = 9x + 45.

Ответы

Ответ дал: fsfgfahd
0
Вот тебе решение ...

Приложения:
Вас заинтересует