Помогите,пожалуйста.8 класс,если что.
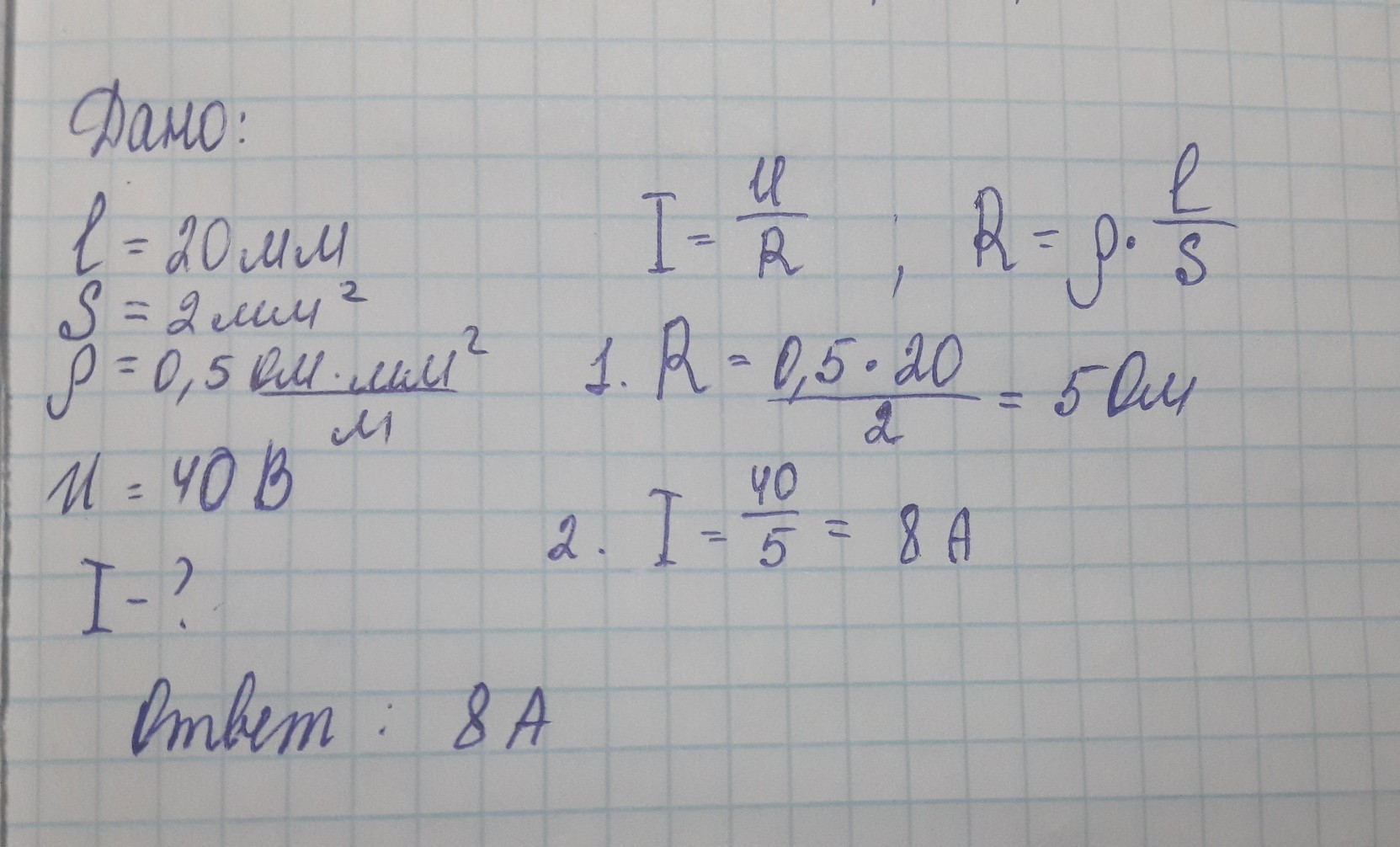
Определите силу тока на участке цепи,состоящей из проволоки длиной 20мм,сечением 2мм(в квадрате),если напряжение на концах этого участка равно 40В.Удельное сопротивление материала,из которого сделана проволока 0,5 Ом*мм(в квадрате)/м
Ответы
Ответ дал:
0
•••••••••••••••••••••••••••(см во вложения)
Приложения:

Ответ дал:
0
Спасибо
Вас заинтересует
2 года назад
9 лет назад
9 лет назад