разложите на множители х3 - 12 + 6х2-2х
(т.е. икс в кубе минус 12 плюс шесть икс в квадрате минус два икс))
Ответы
Ответ дал:
0
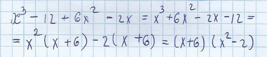
Решение во вложении.
Приложения:

Ответ дал:
0
Да
Ответ дал:
0
прям сотка инфа?
Ответ дал:
0
++
Ответ дал:
0
спасан
Ответ дал:
0
живи вечно))
Ответ дал:
0
х³ - 12 + 6х² - 2х =( х³ +6х²) - (2х + 12) =
= х²(х + 6) - 2(х + 6) = (х + 6)(х² - 2) =
= (х + 6)(х² - (√2)² ) = (х + 6)(х -√2)(х + √2)
= х²(х + 6) - 2(х + 6) = (х + 6)(х² - 2) =
= (х + 6)(х² - (√2)² ) = (х + 6)(х -√2)(х + √2)
Приложения:

Ответ дал:
0
я 7 класс
Ответ дал:
0
слишком умно
Ответ дал:
0
Ясно. Тогда ответ : (х + 6)(х^2 - 2) ....
Вас заинтересует
2 года назад
3 года назад
9 лет назад
9 лет назад
9 лет назад