• Предмет: Алгебра
  • Автор: РыЖиК12345
  • Вопрос задан 8 лет назад

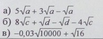
!!!!!!!!!!!!СРОЧНО!!!!!!!!!!!!
Подробно напишите !

Приложения:

Ответы

Ответ дал: Savien
0
Ну как-то так, вроде как.......
Приложения:
Вас заинтересует