• Предмет: Алгебра
  • Автор: liza3k04
  • Вопрос задан 8 лет назад

Помогите с тестом по алгебре

Приложения:

Ответы

Ответ дал: ustyak2003oyyg2s
0
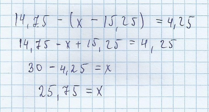
14,75-x+15,25=4,25
14,75+15,25-4,25=x
x=30-4,25
x=25,75
Ответ дал: Нау4пок
0
Решение во вложении.
Приложения:
Вас заинтересует