• Предмет: Математика
  • Автор: archibaldo120000
  • Вопрос задан 8 лет назад

Помогите с уравнениями пожалуйста прошу!!!

Приложения:

Ответы

Ответ дал: amax777
0
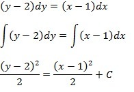
Решение в прикрепленных картинках, удачи :)
Приложения:
Ответ дал: archibaldo120000
0
я вам могу свои решения в лс кинуть или тут нельзя?
Ответ дал: amax777
0
я хз, как это сделать тут. Кидайте, если сможете, можете в вк кинуть
Ответ дал: archibaldo120000
0
дайте вке
Ответ дал: amax777
0
marmax555
Ответ дал: amax777
0
это id в вк)
Вас заинтересует