• Предмет: Математика
  • Автор: mmkuhelenamurr
  • Вопрос задан 8 лет назад

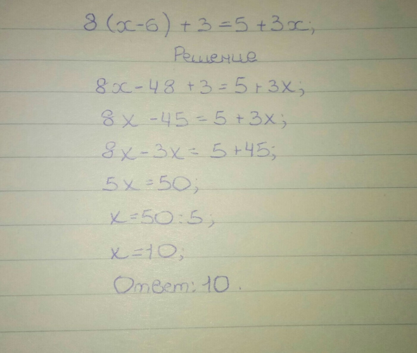
8(x-6)+3=5+3x пожалуйста, помогите, очень надо

Ответы

Ответ дал: annahappy13
0
все решение на листочке)))

удачи:)
Приложения:
Ответ дал: Savien
0

8x - 48 + 3 = 5 + 3x \ 8x - 3x = 5 + 48 - 3 \ 5x = 50 \ x = 5 0 div 5 \ x = 10
Ну как-то так...... Не суди строго
Приложения:
Вас заинтересует