• Предмет: Математика
  • Автор: Хорошист6666
  • Вопрос задан 8 лет назад

решите пж дам баллы срочно!!!

Приложения:

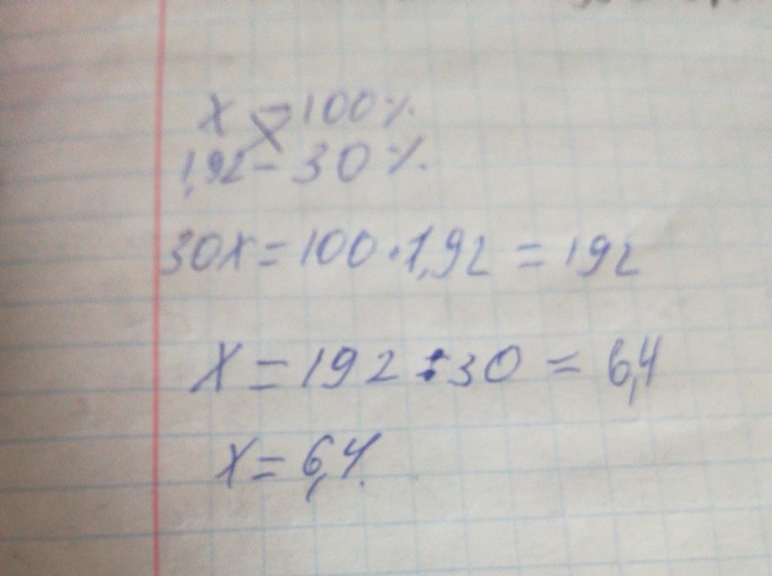
Ответы

Ответ дал: ОлегЗотов
0
надеюсь что я тебе помог
Приложения:
Вас заинтересует