короче Ребята помогите пожалуйста мне сделать это от этого зависит моя годовая оценка это короче очень сложно Помогите пожалуйста срочно хотя бы решить несколько пару всё
Приложения:

Ответы
Ответ дал:
0
Вот держи ( текст пишу чтобы было 20 символов)
Приложения:


Ответ дал:
0
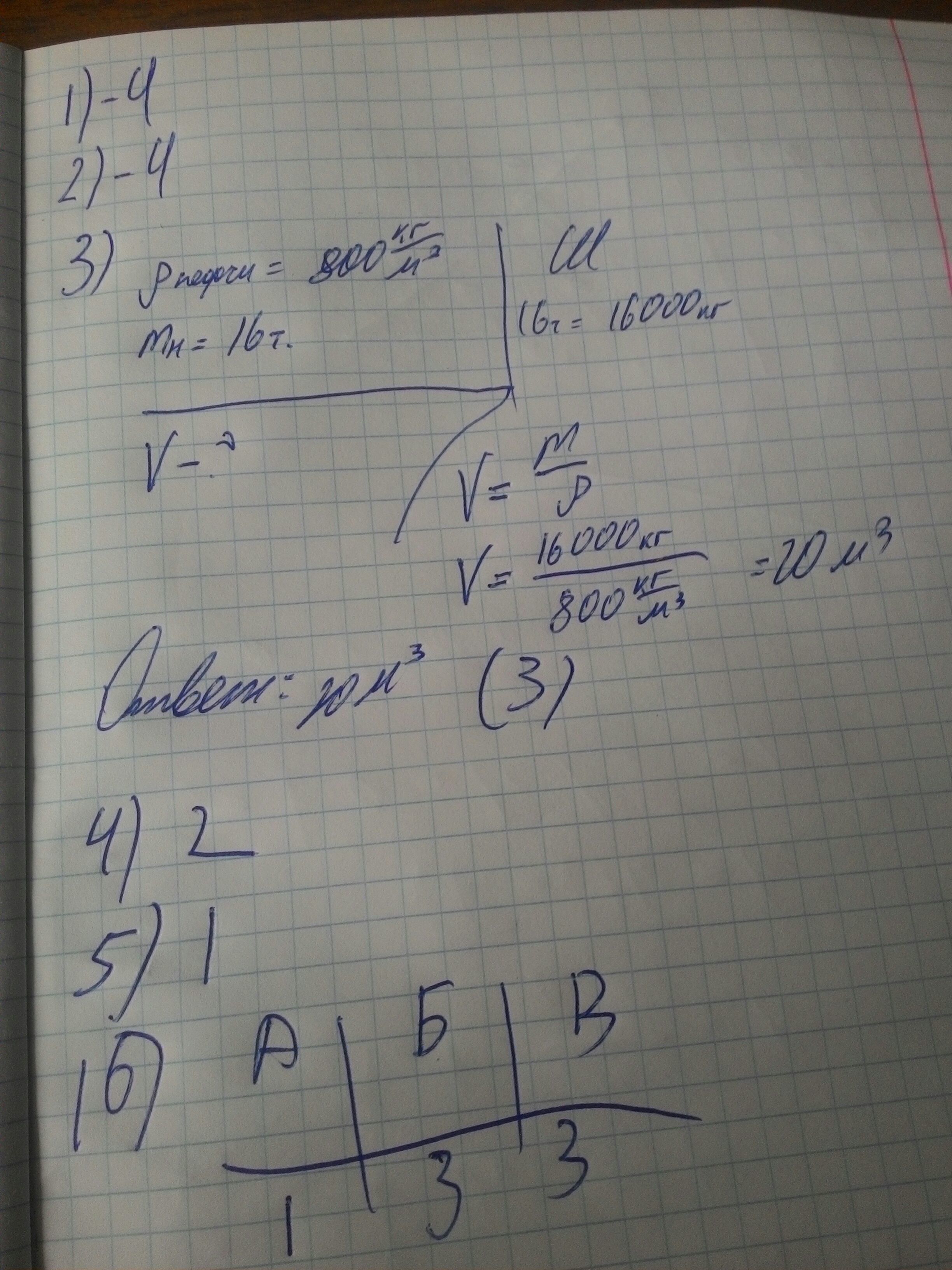
Как температура кипения жидкости зависит от давления воздуха?
а) При увеличении давления температура кипения жидкости понижается
б) При уменьшении давления температура кипения повышается
в) При уменьшении давления температура кипения понижается
На тело по одной прямой действуют силы 3 и 5 Н. Может ли равнодействующая этих сил
быть равной А) 2 Н; Б) 3 Н; В) 8Н; Г) 6 Н;
1) только А)
2) только Б)
3) только Г)
4) А) и В)
5) Б) и Г)
помоги пж
а) При увеличении давления температура кипения жидкости понижается
б) При уменьшении давления температура кипения повышается
в) При уменьшении давления температура кипения понижается
На тело по одной прямой действуют силы 3 и 5 Н. Может ли равнодействующая этих сил
быть равной А) 2 Н; Б) 3 Н; В) 8Н; Г) 6 Н;
1) только А)
2) только Б)
3) только Г)
4) А) и В)
5) Б) и Г)
помоги пж
Ответ дал:
0
При уменьшении давления температура кипения понижается.
А) и В)
А) и В)
Вас заинтересует
2 года назад
2 года назад
3 года назад
3 года назад
9 лет назад
9 лет назад