• Предмет: Алгебра
  • Автор: alina18291
  • Вопрос задан 8 лет назад

Помогите пожалуйста решить примеры!!!!!
Умоляю помогите!!!!!
Заранее спасибо большое!!!!!

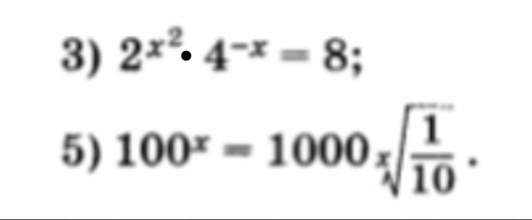
Приложения:

Ответы

Ответ дал: skvrttt
0
mathtt{2^{x^2}*4^{-x}=8;~2^{x^2-2x}=2^3;~x^2-2x-3=0~to~left[begin{array}{ccc}mathtt{x_1=-1}\mathtt{x_2=3}end{array}right}

mathtt{100^x=1000sqrt[x]{frac{1}{10}};~10^{2x-3}=(frac{1}{10})^{frac{1}{x}}=(10)^{-frac{1}{x}};~2x^2-3x+1=0}
ответ: mathtt{left[begin{array}{ccc}mathtt{x_1=frac{1}{2}}\mathtt{x_2=1}end{array}right}
Ответ дал: alina18291
0
Что?
Я так не понимаю!
Ответ дал: Аноним
0
у меня в описании все понятно или нет 1/2 10^2 это 100 привел общее основание для того что бы спустить степени что бы избавится от корня квадратно знаменатель расположен перед корнем числитель после корня поэтому получилась у меня дробь 1/2 потому 1/10 10^2=100 значит нужно 10^2 что бы получить 100 2 как знаменатель ставится перед корнем 1 это в числителе то есть так как x это должна быть 1 x стоит перед корнем подставляем 2 получается 10^2 =100
Ответ дал: Аноним
0
по формулам при умножении показатели(степени складываются) при делении степени вычитаются
Ответ дал: Аноним
0
напиши мне будем не у всех общаться в переписке можешь задавать вопросы
Ответ дал: Аноним
0
здесь тоже как будет удобнее
Вас заинтересует