• Предмет: Математика
  • Автор: Nedoumnik705
  • Вопрос задан 8 лет назад

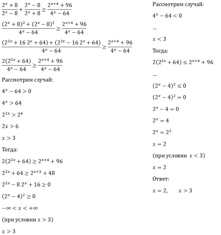
помогите, пожалуйста, решить данное уравнение. решение если не сложно фотографией на листочке)))))

Приложения:

Ответы

Ответ дал: amax777
0
Решение в приложенной картинке. Удачи =)
Приложения:
Ответ дал: Nedoumnik705
0
благодарю))
Вас заинтересует