За контрольную работу по математике было поставлено 15% пятёрок. Сколько учеников писали контрольную работу, если пятёрки получили шестеро учеников?
Ответы
Ответ дал:
0
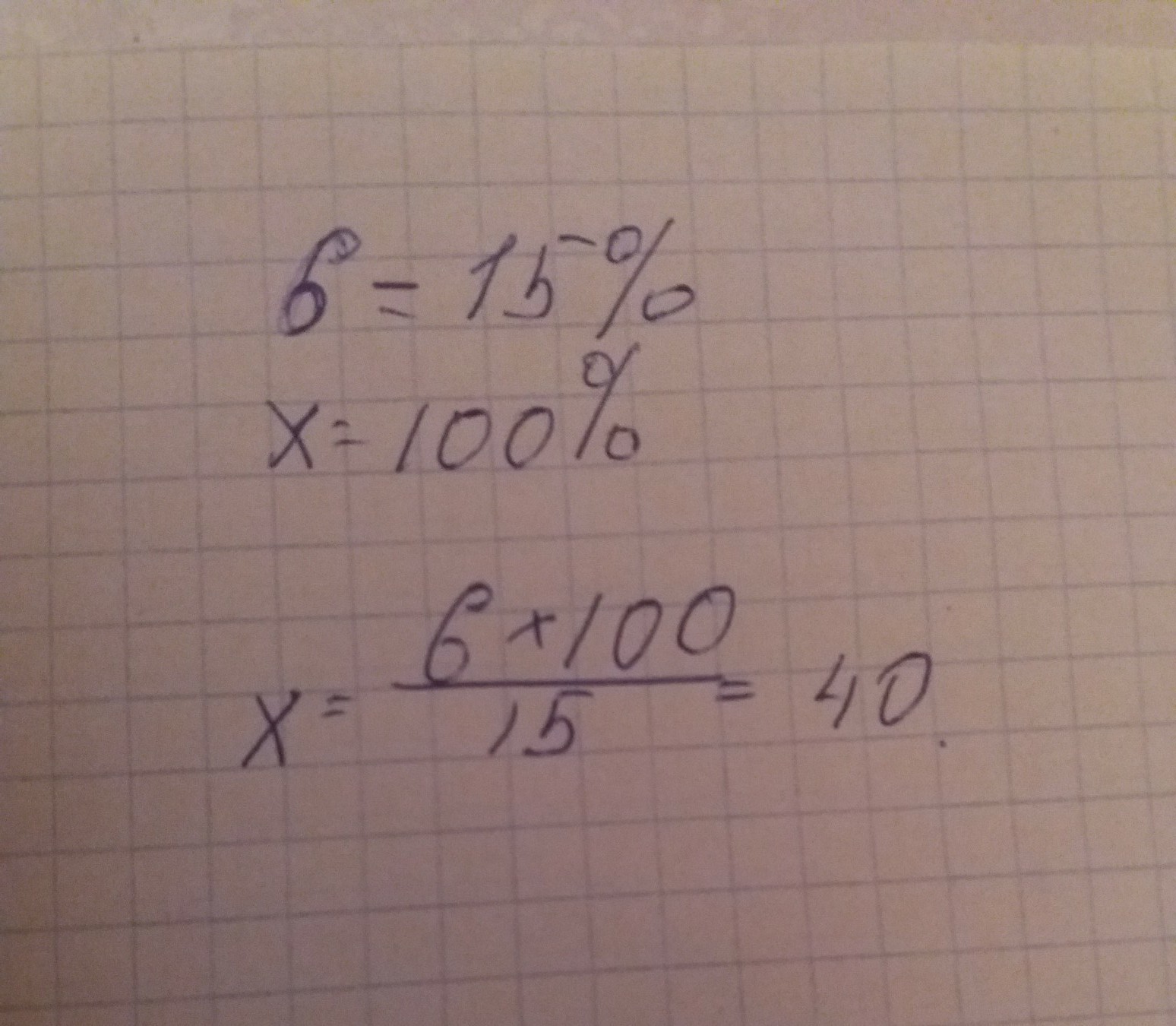
решение: 6 = 15% так как шесть человек получили 15% пятерок мы пишем так 6=15%
а 100% мы не знаем и пишем под буквой х что значит неизвестное число дальше мы 6 умножаем на 100 и делим на 15 что получаем 40 :*)) Оцени плииз****
а 100% мы не знаем и пишем под буквой х что значит неизвестное число дальше мы 6 умножаем на 100 и делим на 15 что получаем 40 :*)) Оцени плииз****
Приложения:
Вас заинтересует
2 года назад
3 года назад
9 лет назад
10 лет назад