• Предмет: Алгебра
  • Автор: Kkkr111
  • Вопрос задан 8 лет назад

1) (1/2)^x+(1/2)^x-2>5
2) (x+1)(x+3)^2/x+4<или равно 0

Ответы

Ответ дал: detichelenin
0
1. Фото 1,2

Ответ: х ∈(- ∞ ;0)

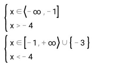
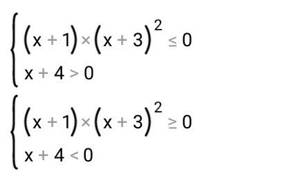
2. Фото 3,4,5

Ответ: х ∈ (-4;-1]
Приложения:
Вас заинтересует