• Предмет: Математика
  • Автор: Юляша1409
  • Вопрос задан 8 лет назад

помогите решить,очень срочно нужно

Приложения:

Ответы

Ответ дал: Simka1012
0
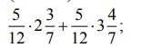
5/12 · 2 3/7 + 5/12 · 3 4/7= 5/12 · (2 3/7 + 3 4/7 ) = 5/12 · 6 = 5/2 = 2,5
Ответ дал: alesyaperova
0

 frac{5}{12}  times (2 frac{3}{7}  + 3 frac{4}{7} ) =  \ 2 frac{3}{7}  + 3 frac{4}{7}  = 5 frac{7}{7}  =6
 frac{5}{12}  times 6 =  frac{5 times 6}{12}  =  frac{5}{2}  = 2 frac{1}{2}  = 2.5
Ответ:2,5
Вас заинтересует