найдите первообразную
ответ во вложении
самое главное объясните пожалуйста почему именно этот ответ
Приложения:

Ответы
Ответ дал:
0
Ответ не верный...
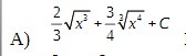
формула я приложил, как и решение. (в формуле еще к результату добавится С)
формула я приложил, как и решение. (в формуле еще к результату добавится С)
Приложения:

Ответ дал:
0
из 5 ответов такого нет ,на сайте есть готовые ответы,но мне нужно решение,извините..
Ответ дал:
0
Я показал решение, более конкретное сделать можно только расписывая как ниже. я дал формулу, по которой это делается
Ответ дал:
0
я не смогу дать ссылки заданий,тк.к ту задачу мою удалили,но у вас же остались скрины?
Ответ дал:
0
ой не туда,простите,не внимательность
Ответ дал:
0
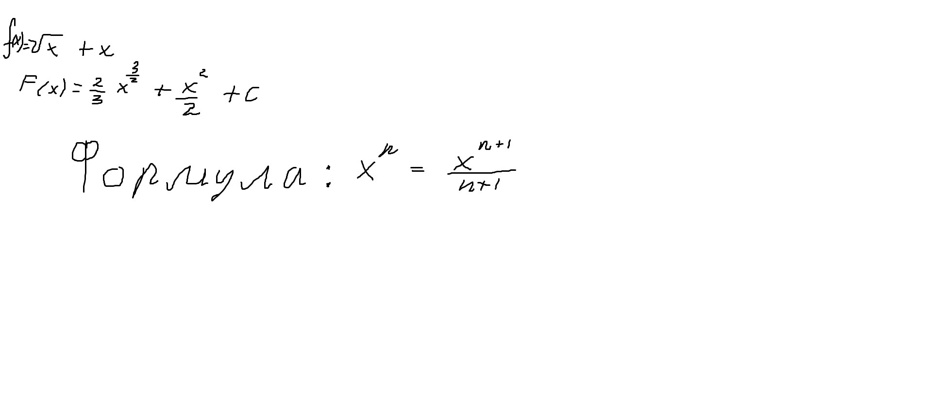
Чтобы получился указанный ответ функция должна быть другой. Найдем от указанной в ответе первообразной производную:
Т.о. чтобы ответ сходился, исходная функция должна быть:
Приложения:

Ответ дал:
0
ок, жду ссылку
Ответ дал:
0
ПРОСТИТЕ,ОШИБЛАСЬ.да,блок А1,три задания осталось
Ответ дал:
0
вам еще долго писать задание? в магазин собираюсь)
Ответ дал:
0
уже написала,давайте сделаем так,я как раз тоже собиралась идти в магазин,я как приду допишу вам оставшиеся два блока 3 и 5,хорошо?надеюсь вы будете к тому времени тут)
Ответ дал:
0
здравствуйте,Катя,скажите ,вы мне поможите сегодня с 10 примерами?
Вас заинтересует
2 года назад
2 года назад
3 года назад
3 года назад
9 лет назад