• Предмет: Математика
  • Автор: Юляша1409
  • Вопрос задан 8 лет назад

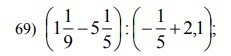
решите пример пожалуйста

Приложения:

Ответы

Ответ дал: Lerusa12
0
Мне кажется что что-то написано
Ответ дал: Юляша1409
0
всм?
Ответ дал: 123Помощница123
0
Ответ 2,15
Ответ дал: 123Помощница123
0
?.
Ответ дал: 123Помощница123
0
Нет, -358.
Ответ дал: EgorIS
0
вот так вот списывай на здоровье
Приложения:
Вас заинтересует