Ответы
Ответ дал:
0
Надеюсь мой подчерк понятен)
Приложения:

Ответ дал:
0
ты уверен,что правильно дробь в неправильную перевел (ибо я не уверен, или я тупой)
Ответ дал:
0
там же просто дробь, а не умножение
Ответ дал:
0
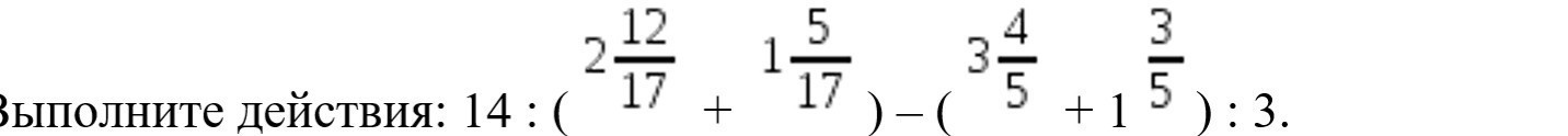
14:(46/17+22/17)- 3:(19/5+8/5)=14/1:68/17-3/1:27/5=14/1*17/68-3/1*5/27=7/2-59=63/18-9/18=53/18
Приложения:

Вас заинтересует
2 года назад
2 года назад
3 года назад
3 года назад
9 лет назад
9 лет назад