Ответы
Ответ дал:
0
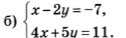
1) Из первого уравнения выражаем x:

2) После того как выразили подставляем во второе уравнение:

3) Решаем:

4) После того, как нашли значение y подставляем его в первое уравнение и находим x:

2) После того как выразили подставляем во второе уравнение:
3) Решаем:
4) После того, как нашли значение y подставляем его в первое уравнение и находим x:
Вас заинтересует
2 года назад
3 года назад
3 года назад
9 лет назад
9 лет назад
10 лет назад