• Предмет: Алгебра
  • Автор: ANDTQW
  • Вопрос задан 8 лет назад

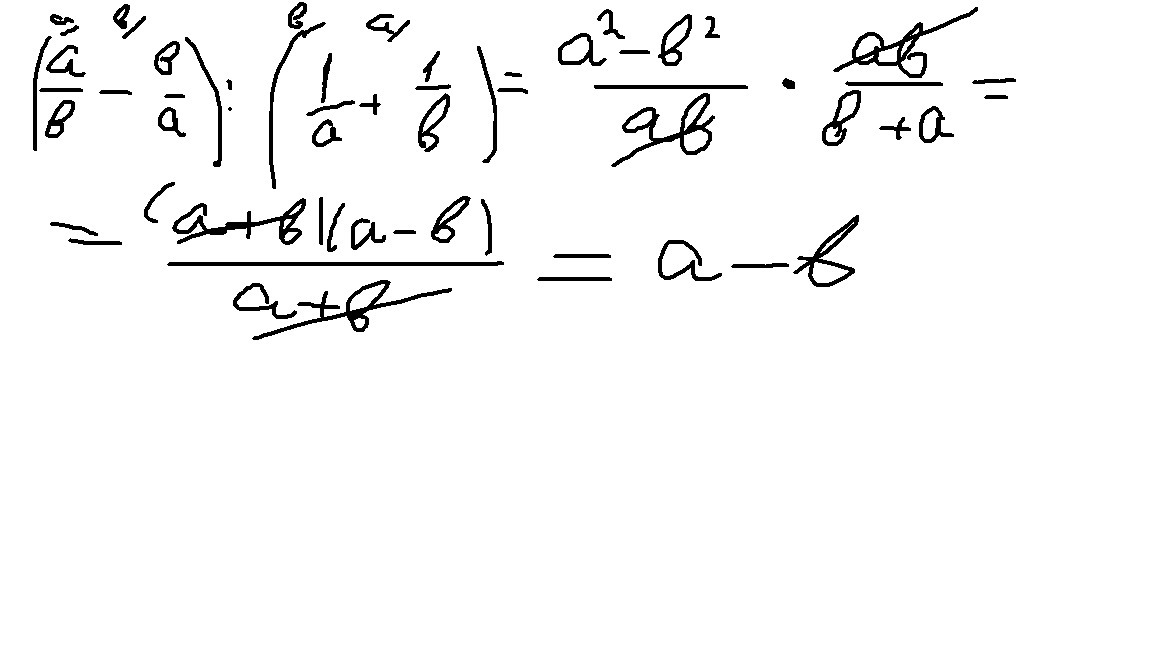
Упростите выражение: (a/b-b/a):(1/a+1/b)

Ответы

Ответ дал: Mishacle
0
111111111111111111111111111111111111111111111111111111111111111111111111111111
Приложения:
Вас заинтересует