• Предмет: Математика
  • Автор: niylak
  • Вопрос задан 8 лет назад

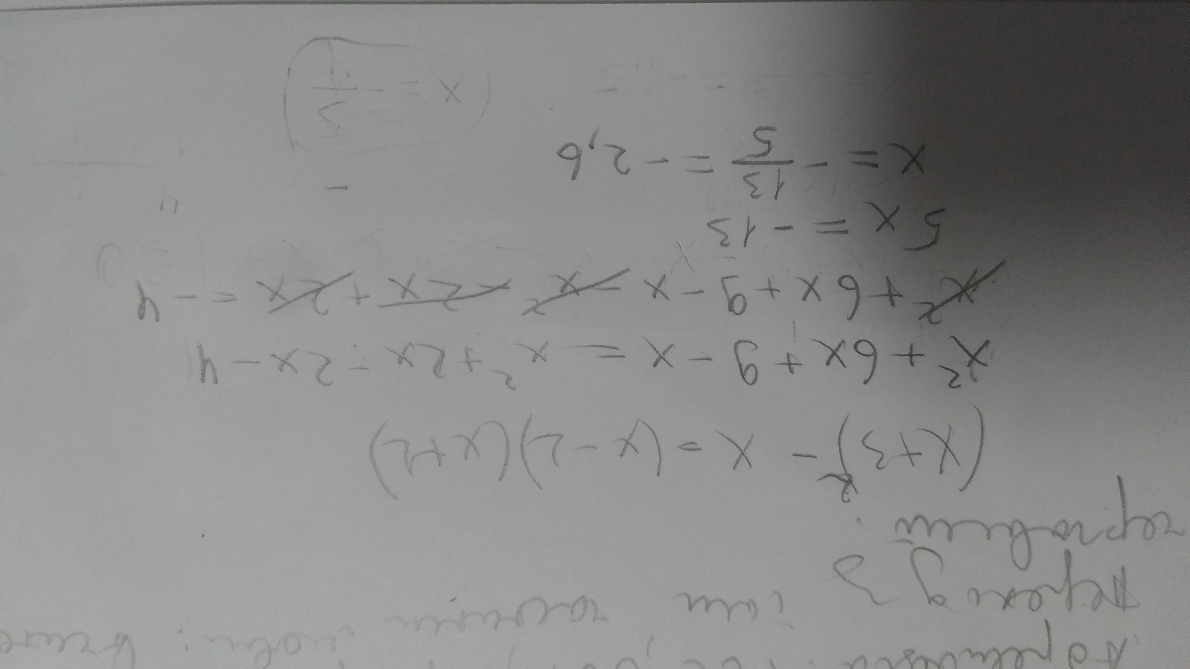
решите уравнение (x+3)^2-x=(x-2)(x+2)

Ответы

Ответ дал: AnnBerry
0
Решение прикреплено на фото
Приложения:
Вас заинтересует