• Предмет: Математика
  • Автор: Аноним
  • Вопрос задан 8 лет назад

Решить срочно пожалуйста даю 50 баллов очень надо ,буду оч благодарен!)

Приложения:

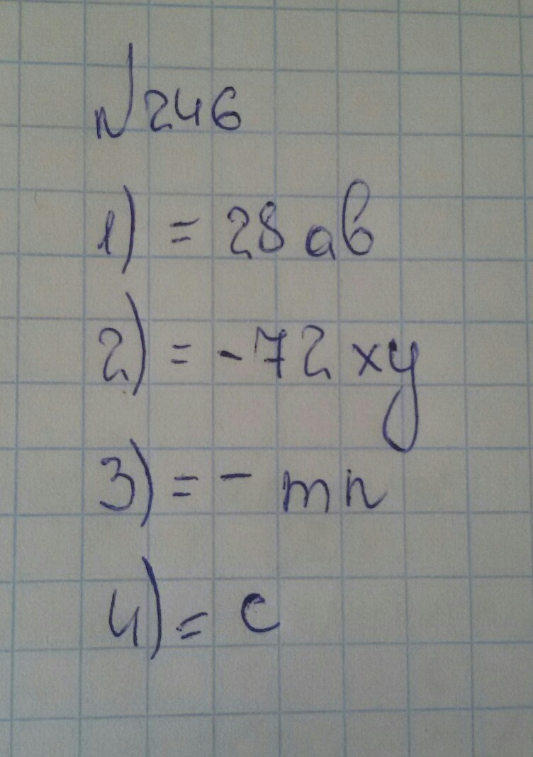
Ответы

Ответ дал: Vanda11
0
......................
Приложения:
Вас заинтересует