Пожалуйста, помогите с решением дифференциального уравнения:
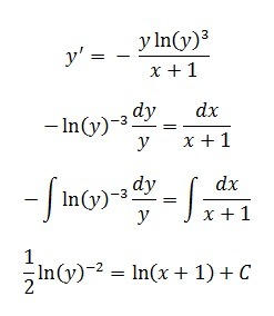
y'= - (y*ln^3*y/(x+1))
Заранее благодарю за помощь!
Ответы
Ответ дал:
0
Общий интеграл уравнения находится легко, ну если что-то просят выразить, y(x) или x(y), то удачи =)
Приложения:

Ответ дал:
0
Стоило лишь мне пропустить лекцию с этой темой как сразу не понимаю что происходит. В любом случае, спасибо за помощь)))
Вас заинтересует
2 года назад
3 года назад
9 лет назад
9 лет назад