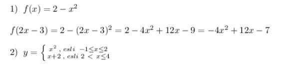
1.Дана функция y=f(x),где f(x)=2-x^2
Найдите f(2x-3)
x^2,если -1 ≤ x ≤ 2
Постройте график функции y=
x+2,если 2 < x ≤ 4
Ответы
Ответ дал:
0
............................................................................................................................
Приложения:


Вас заинтересует
2 года назад
9 лет назад
9 лет назад
9 лет назад