• Предмет: Физика
  • Автор: jasmine29
  • Вопрос задан 8 лет назад

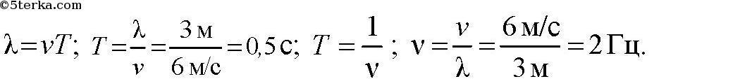
волна распространяется по поверхности озера 6 м/с.Определите частоту и период колебания буйка на поверхности озера при длине волны 3 м.

Ответы

Ответ дал: sofiamoa
0

Дано:

v = 6 м/с, λ = 3 м. Найти: T, v.

Решение.(на фото)

Ответ: T = 0,5 c, v = 2 Гц.


Приложения:
Вас заинтересует