Через дискреминант Срочно!!!! Помогите!!!
1
a) x(2)-4x-32
б) 2x(2)-9+4
2
x(2)+13x+40/x(2)-25= (x+8)·(x+5)/(x-5)·(x+5)=
3
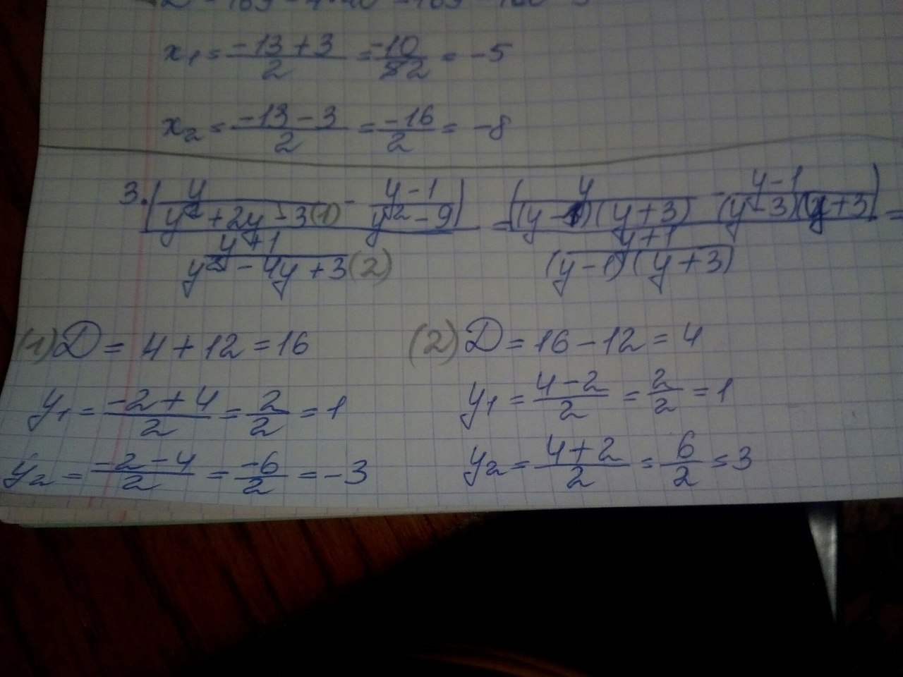
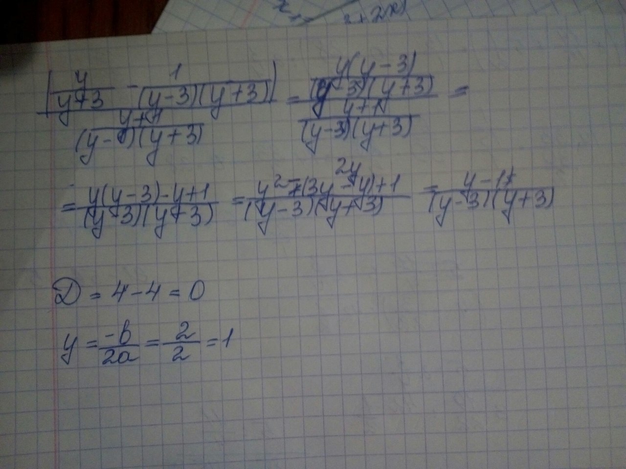
(y/y(2)+2y-3 - y-1/y(2)-9) / y+1/y(2)-4y+3
Ответы
Ответ дал:
0
1 и 2 задания
А вот что насчет 3-го я не уверена, что правильно решила,но попробовала
А вот что насчет 3-го я не уверена, что правильно решила,но попробовала
Приложения:




Вас заинтересует
2 года назад
2 года назад
3 года назад
3 года назад
9 лет назад
9 лет назад
9 лет назад