Ответы
Ответ дал:
0
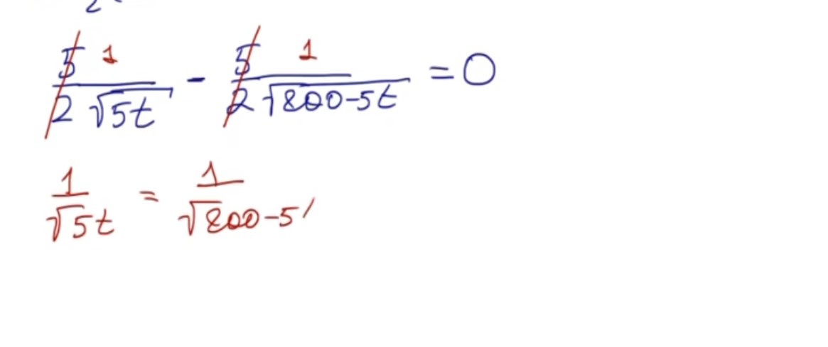
1. по правилу пропорции, умножается крест на крест, получается 2 строка
возводим в квадрат обе части
корень в квадрате есть само это число
-5t переносится с противоположным знаком
считаем получаем отввет
возводим в квадрат обе части
корень в квадрате есть само это число
-5t переносится с противоположным знаком
считаем получаем отввет
Приложения:
Вас заинтересует
2 года назад
2 года назад
3 года назад
9 лет назад