Ответы
Ответ дал:
0
1/2-5/8*1,2+2,3=2,05
1) 1/2=0,5 - деление
2) -5/8*1,2=-0,75 правило множения и деления для обчисления значения
3) 0,5-0,75+2,3=2,05
Ответ: 2,03
Вот и всё
1) 1/2=0,5 - деление
2) -5/8*1,2=-0,75 правило множения и деления для обчисления значения
3) 0,5-0,75+2,3=2,05
Ответ: 2,03
Вот и всё
Ответ дал:
0
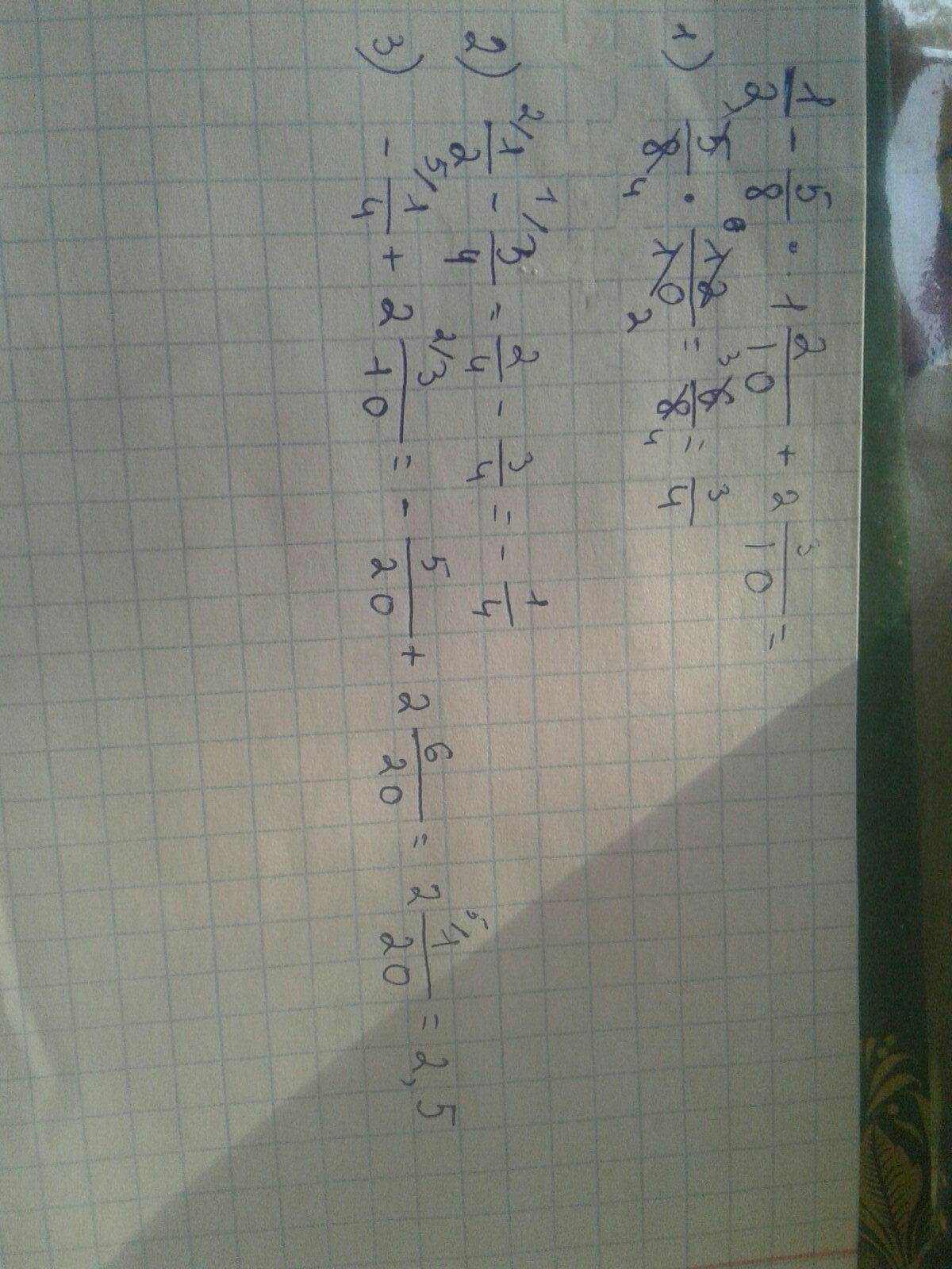
1/2-5/8*1,2+2,3=2,5 надеюсь понятно
Приложения:
Вас заинтересует
2 года назад
2 года назад
3 года назад
3 года назад
9 лет назад
10 лет назад