Ответы
Ответ дал:
0
Решение во вложении.
Приложения:

Ответ дал:
0
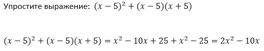
(x-5)^2+(x-5)*(x+5)= x^2-10+25+x^2-25=2x^2-10
Приложения:

Вас заинтересует
2 года назад
2 года назад
3 года назад
3 года назад
9 лет назад
9 лет назад
9 лет назад