• Предмет: Математика
  • Автор: Sitdikovilia
  • Вопрос задан 8 лет назад

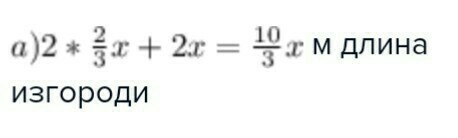
Сад прямоугольной формы имеет длину x м,что составляет 2/3 его длины .Найди длину изгороди вокруг сада.

Ответы

Ответ дал: ВиолаТэйг
0
М., длина изгороди. Не благодори
Приложения:
Вас заинтересует