Ответы
Ответ дал:
0
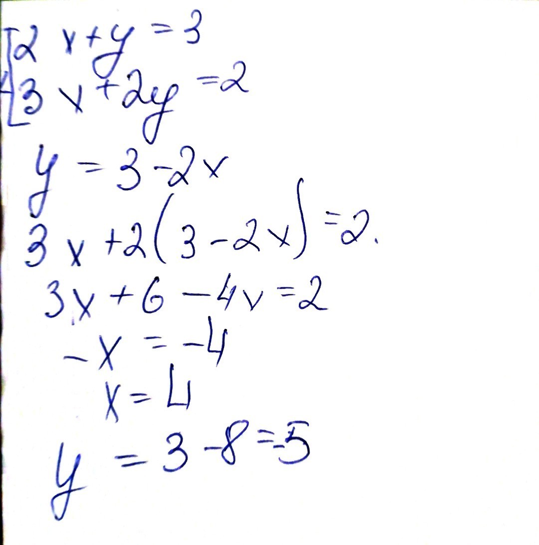
Получаются такие корни : х=4 у=-5
Приложения:

Ответ дал:
0
cgfcb,j
Ответ дал:
0
спасибо)
Ответ дал:
0
Х=4
У=-5
Думаю, что все понятно
У=-5
Думаю, что все понятно
Приложения:

Ответ дал:
0
спасибо))
Ответ дал:
0
Ответ:
(x; y)∈{(4; -5)}
Объяснение:
Отсюда: (x; y)∈{(4; -5)}
Вас заинтересует
2 года назад
2 года назад
3 года назад
3 года назад
9 лет назад
9 лет назад
9 лет назад
9 лет назад