• Предмет: Математика
  • Автор: Нммопст
  • Вопрос задан 8 лет назад

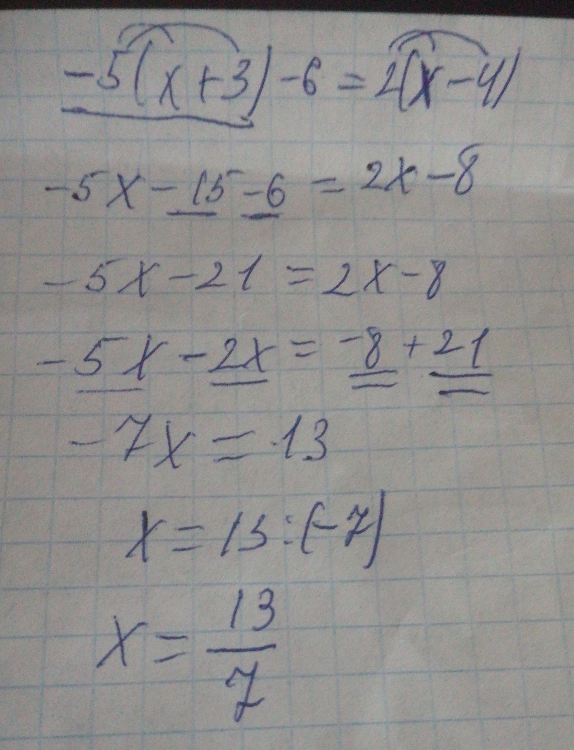
Решите уравнение -5(x+3)-6=2(x-4)

Ответы

Ответ дал: ОлегЗотов
0
надеюсь что я тебе помог
Приложения:
Ответ дал: idrisov2002
0
не правильно посчитал
Ответ дал: ОлегЗотов
0
в конце 13:7= ответ
Вас заинтересует