• Предмет: Химия
  • Автор: avyrga8
  • Вопрос задан 8 лет назад

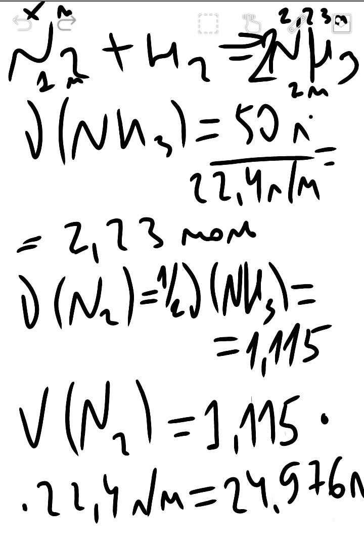
Вычислить объём NH3 который получится при взаимодействии 50 литров азота.

Ответы

Ответ дал: Nozhnicy
0
надеюсь понятно написано
Приложения:
Вас заинтересует