• Предмет: Алгебра
  • Автор: Masha5665
  • Вопрос задан 8 лет назад

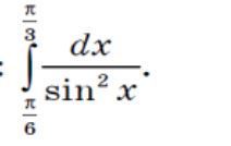
Помогите!  (отмечу как лутший) вычислите (розпишите детально)

Приложения:

Ответы

Ответ дал: d60k60
0
интеграл 1/синус в квадрате Х = - котангенсХ(подстановка верхнего предела минус подстановка нижнего предела )   при условии,что Хне равен   ПК  ,пк не принадлежит области,значит просто считаем  интеграл равен   -кот(п/3) +кот(п/6)=-0.577+0/32=-0.257 
Вас заинтересует