• Предмет: Математика
  • Автор: Killmon4542
  • Вопрос задан 8 лет назад

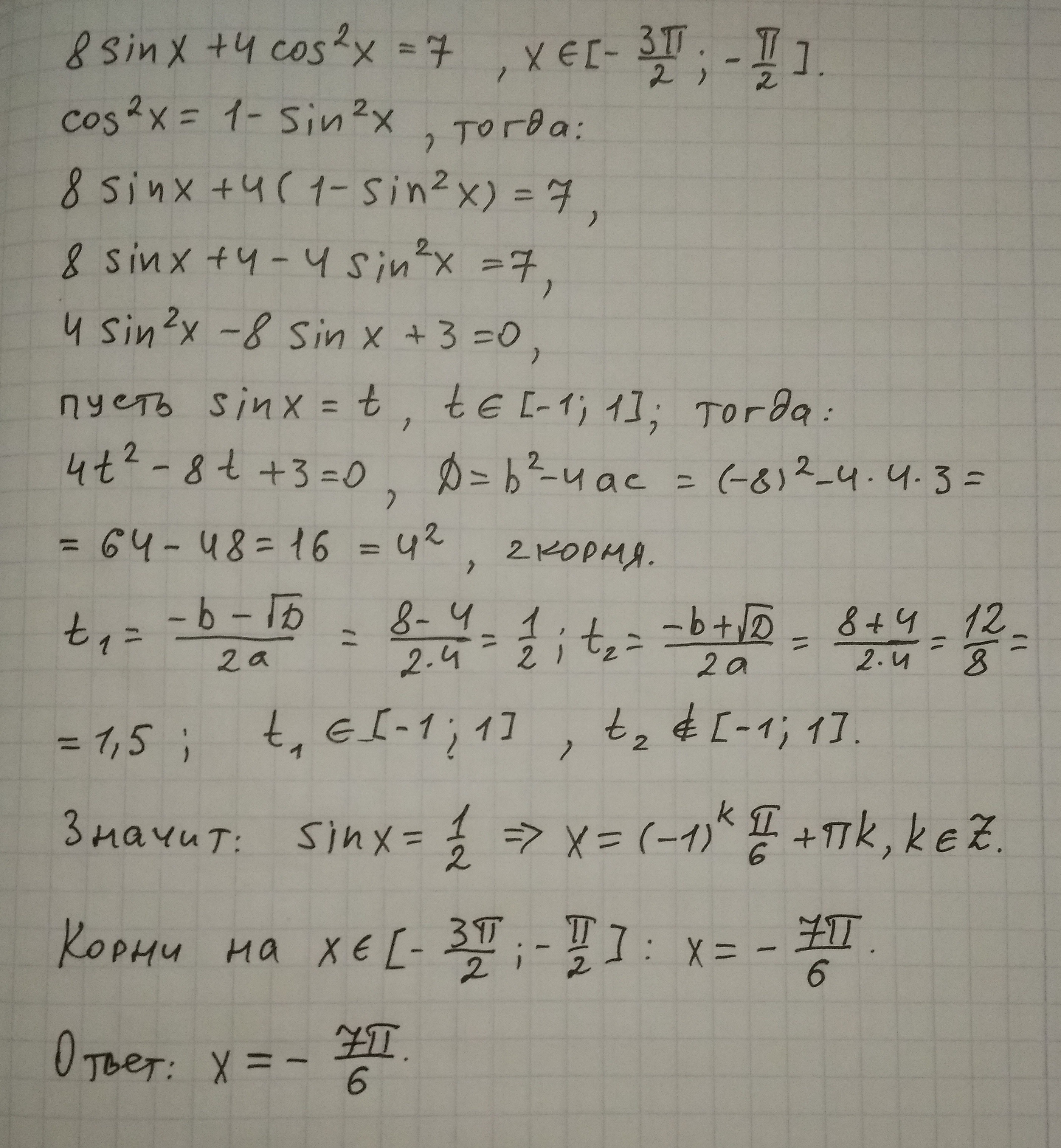
8sinx+4cos^2x=7 [-3pi/2;-pi/2]
Найдите корни, входящие в промежуток

Ответы

Ответ дал: prostotom
0
Решение задания в прикреплённом файле.
Приложения:
Вас заинтересует