• Предмет: Алгебра
  • Автор: Галя24092004
  • Вопрос задан 8 лет назад

Помогите пожалуйста
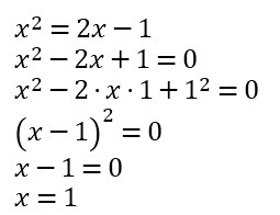
решите уравнение х^2=2х-1
7 класс
дам 20 балов пж

Ответы

Ответ дал: Нау4пок
0
Решение во вложении.
Приложения:
Вас заинтересует