• Предмет: Алгебра
  • Автор: лайк221547
  • Вопрос задан 8 лет назад

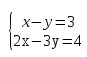
Решите систему уравнений

Приложения:

Ответы

Ответ дал: ЯгодкаЯлесная
0
фоточка тебе в помощь ;)
Приложения:
Ответ дал: Саша300104
0
x - y = 3 : : : times 2 \ 2x - 3y = 4 \ 2x - 2y = 6 \ 2x - 3y = 4 \ - 5y = 10 \ - y = 2 \ y = - 2 \
x-2=3
x=3+2
x=5
Приложения:
Вас заинтересует