• Предмет: Алгебра
  • Автор: Аноним
  • Вопрос задан 8 лет назад

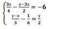
ПОЖАЛУЙСТА!!!!! СРОЧНО!!!!!!!
Решите систему уравнений

Приложения:

Ответы

Ответ дал: Регейна
0
Решение смотри на фото
Приложения:
Вас заинтересует