• Предмет: Математика
  • Автор: linalivi
  • Вопрос задан 8 лет назад

решите пример
пожалуйста срочно

Приложения:

Ответы

Ответ дал: alex080297
0
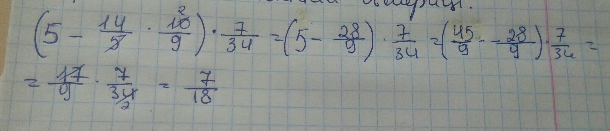
2 4/5*1 1/9=14/5*10/9=28/9
5-28/9=45/9-28/9=17/9
17/9:1 7/27=17/9:34/27=17/9*27/34=3/2=1.5
Ответ дал: kristinaahachatryan
0
получается 7/18
пожалуйста
Приложения:
Ответ дал: kristinaahachatryan
0
7/34 взялося оно от того что я перевела неправельную дробь в правильную и там был знак поделить потому я его перевернула
Ответ дал: linalivi
0
молодец я же тоже самое ему говорю
Ответ дал: alex080297
0
еще раз повторяю перевод числа 1 целое 7/27 в неправильную дробь это сумма числа 27/27 (как 1 целое) и 7/27=27/27+7/27=34/27, а (переворачивается) 34/27 и становится 27/34
Ответ дал: linalivi
0
да все. хватит
Ответ дал: linalivi
0
У меня соч
Вас заинтересует