• Предмет: Алгебра
  • Автор: лайк221547
  • Вопрос задан 8 лет назад

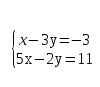
Решите систему уравнений

Приложения:

Ответы

Ответ дал: Mishacle
0
 left { {{x=3y-3} atop {5x=11+2y}} right. 
15y-15=11+2y
 left { {{y=2} atop {x=3}} right.
Вас заинтересует