Ответы
Ответ дал:
0
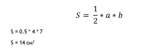
Площадь равна катет * катет * 0,5. Удачи!
Приложения:

Вас заинтересует
2 года назад
3 года назад
9 лет назад
9 лет назад
9 лет назад