• Предмет: Алгебра
  • Автор: gshgsjs
  • Вопрос задан 8 лет назад

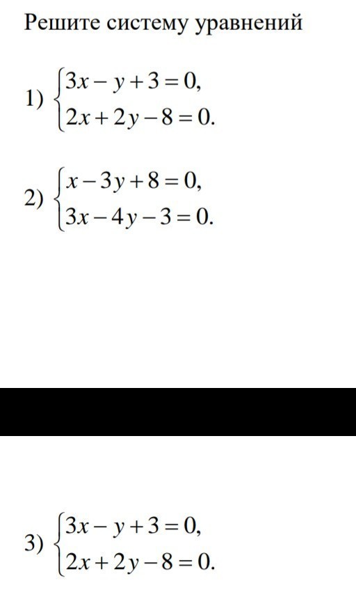
Помогите пожалуйста с решением! В прикрепленном фото

Приложения:

Ответы

Ответ дал: komar50497
0
просто вырази х или у
Вас заинтересует