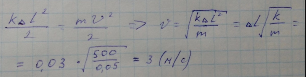
З пружного пістолета роблять постріл у горизонтальному напрямі. Якої швидкості руху набирає куля масою 50 г, якщо перед пострілом пружина жорсткістю m =500 H/м стиснута на x=3 сантиметри? Сроооооочноооо
Ответы
Ответ дал:
0
Решение на фотографии
Приложения:

Вас заинтересует
2 года назад
3 года назад
3 года назад
9 лет назад
9 лет назад
9 лет назад