Ответы
Ответ дал:
0
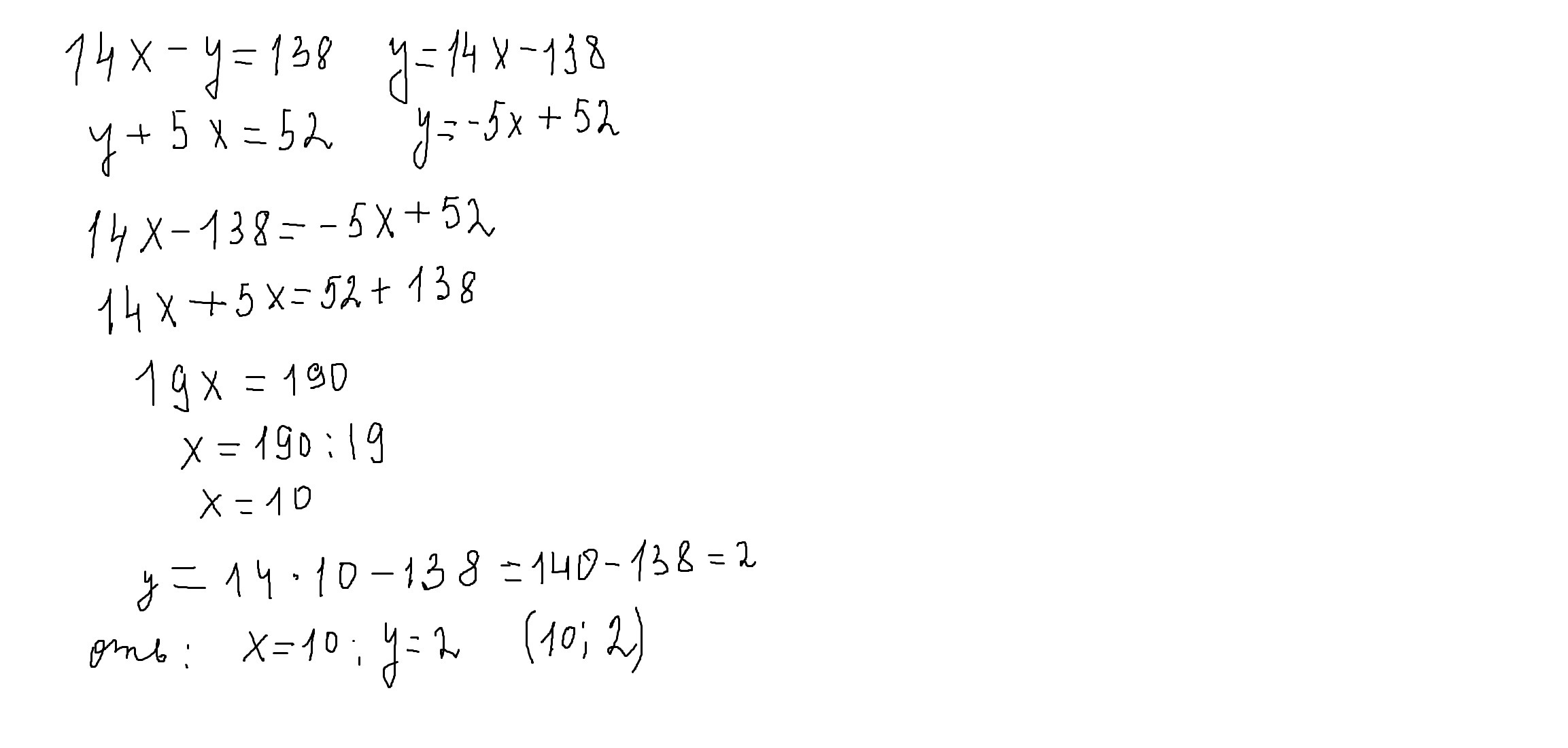
сначала в каждом уравнении прямой выразим переменную У через переменную Х. Когда прямые пересекаются,то они имеют общую точку,чтобы найти координату этой точки надо приравнять эти 2 уравнения и решить его относительно переменной Х.а потом подставить значение Х в любое из уравнений и найти У.
Приложения:

Вас заинтересует
2 года назад
3 года назад
9 лет назад
9 лет назад
9 лет назад