Ответы
Ответ дал:
0
фоточка тебе в помощь ;)
Приложения:

Ответ дал:
0
спасибо
Ответ дал:
0
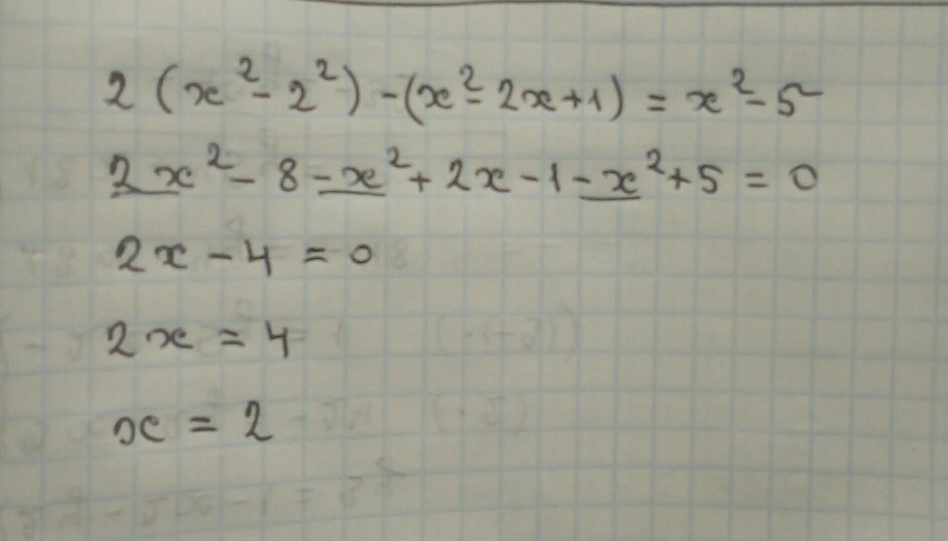
2(x^2-4)-(x^2-2x+1)=x^2-5
2x^2-8-x^2+2x-1-x^2+5=0
2x=4
x=2
Ответ: 2
2x^2-8-x^2+2x-1-x^2+5=0
2x=4
x=2
Ответ: 2
Приложения:

Вас заинтересует
2 года назад
3 года назад
9 лет назад
9 лет назад
9 лет назад