Ответы
Ответ дал:
0
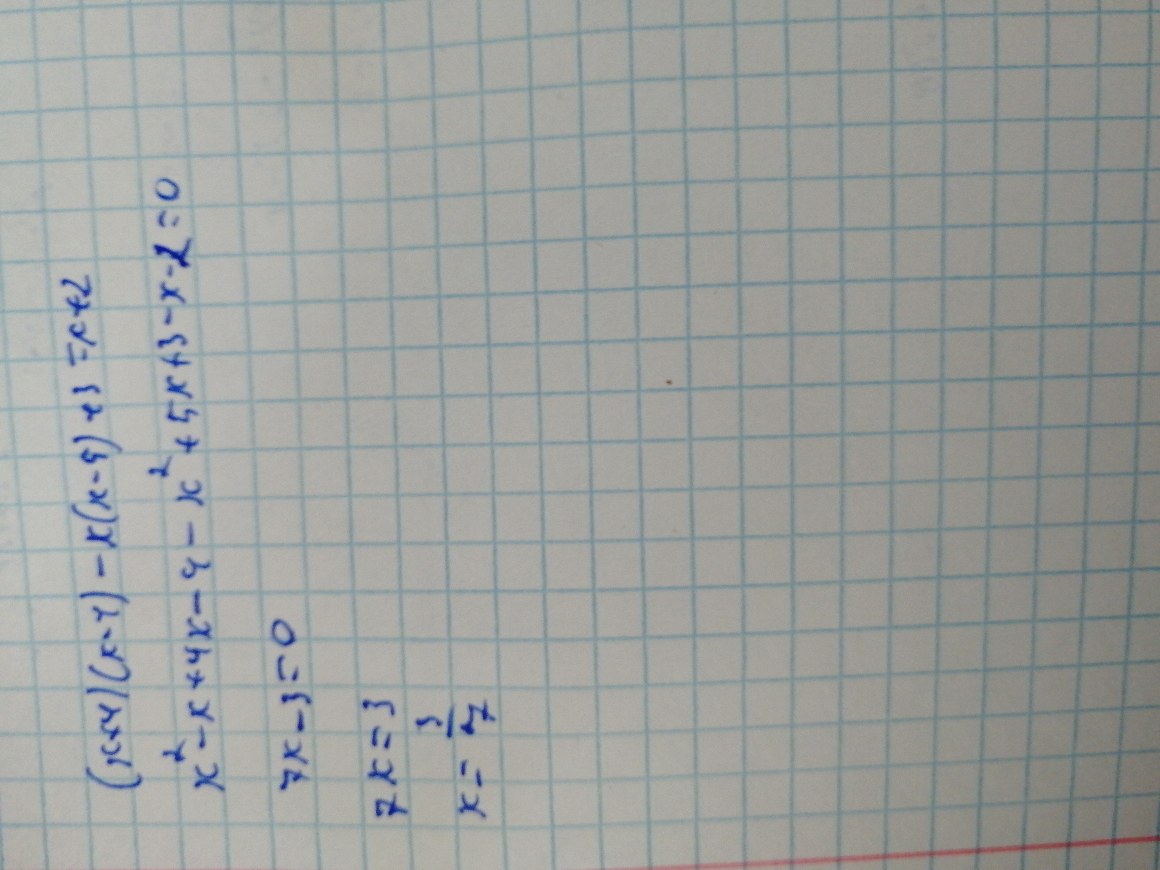
1. Все перемножаем.
2. Складываем подобные члены
3. Переносим числа в правую часть
4. Делим правую и левую часть на 7
2. Складываем подобные члены
3. Переносим числа в правую часть
4. Делим правую и левую часть на 7
Приложения:

Вас заинтересует
2 года назад
3 года назад
9 лет назад
9 лет назад