• Предмет: Физика
  • Автор: STAS375
  • Вопрос задан 8 лет назад

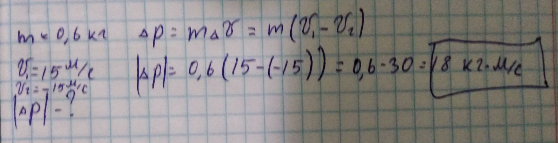
мяч массой 0,6 кг движущийся со скоростью 15 м/с , после удара о стенку движется в противоположном направлении с той же по модулю скоростью. Определите модуль импульса мяча после удара об стенку

Ответы

Ответ дал: azizef00p7xkpg
0
ответ на фото с решением
Приложения:
Вас заинтересует