• Предмет: Математика
  • Автор: vanacss34
  • Вопрос задан 8 лет назад

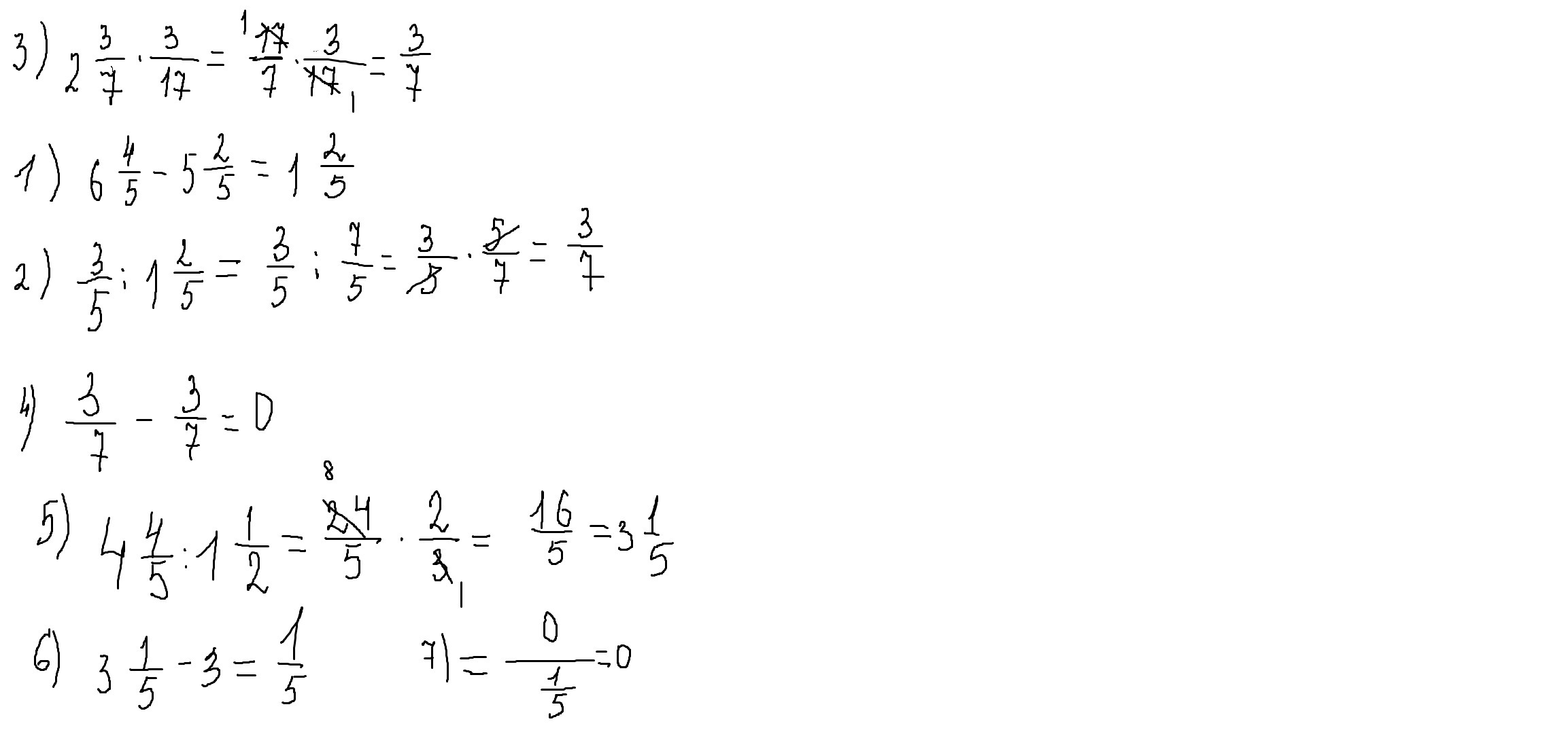
з) задание 4 с верху

Приложения:

Ответы

Ответ дал: parus77
0
выполняем по действиям ,получаем в числителе 0  а в знаменателе 15.    потом 0:15=0
Приложения:
Вас заинтересует