Ответы
Ответ дал:
0
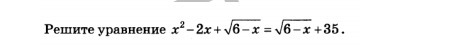
Переносим подкорневое выражение и вычитаем из аналогичного. Остается квадратное уравнение

D = 4 + 4*35 = 144
x1 = (2+12)/2 = 7 (не может является решением уравнения, так как не удовлетворяет условию
x2 = (2-12)/2 = -5
D = 4 + 4*35 = 144
x1 = (2+12)/2 = 7 (не может является решением уравнения, так как не удовлетворяет условию
x2 = (2-12)/2 = -5
Вас заинтересует
2 года назад
2 года назад
3 года назад
3 года назад
9 лет назад
10 лет назад