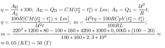
Электрокипятильник со спиралью сопротивлением 160 Ом поместили в сосуд, содержащий 0,5 л воды при 20 °С, и включили в сеть напряжением 220 В. Через 20 мин спираль выключили. Какое количество воды выкипело, если КПД спирали 80%?
Ответы
Ответ дал:
0
Приветик)
Лови своё решение:)
Удачки тебе)
Лови своё решение:)
Удачки тебе)
Приложения:
Ответ дал:
0
а можно в более хорошем разрешении сделать?
Ответ дал:
0
Так лучше?
Вас заинтересует
2 года назад
2 года назад
3 года назад
9 лет назад
10 лет назад
10 лет назад