• Предмет: Алгебра
  • Автор: allcslg1
  • Вопрос задан 8 лет назад

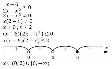
x-6/2x-x^2≤0 решите неравенство
заранее спасибо

Ответы

Ответ дал: Нау4пок
0
Решение во вложении.
Приложения:
Ответ дал: allcslg1
0
огромное тебе спасибо
Ответ дал: Нау4пок
0
не за что! Всегда рад помочь!
Вас заинтересует